| voir les constantes |
| L'ESPACE-TEMPS ÉVOLUTIF |
|
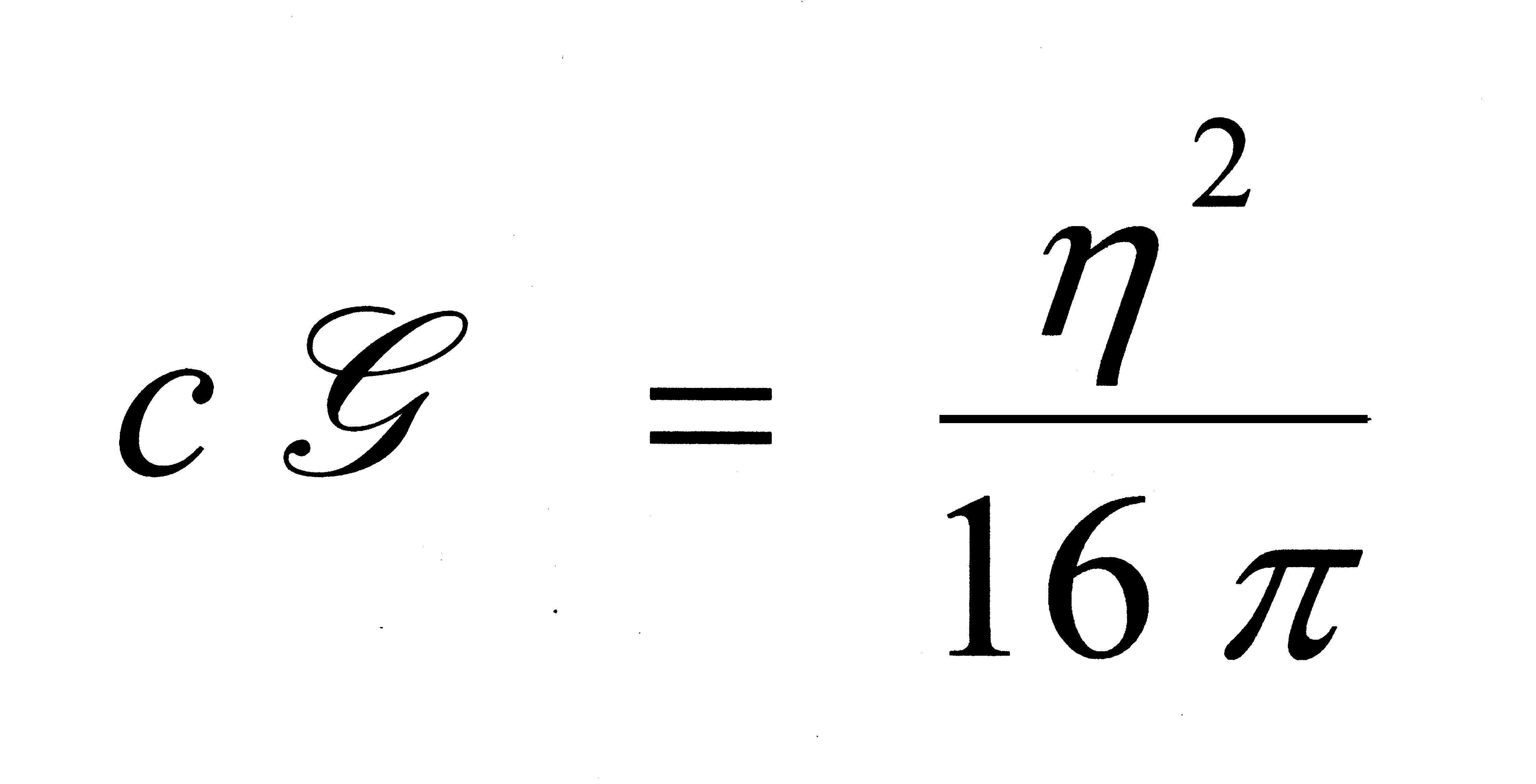
Vous trouverez sous ce lien le document qui expose la théorie de l'espace-temps évolutif Cette théorie conduit à une réinterprétation de toutes les lois de la physique. Sa validité est garantie par la formule suivante qui est inexplicable au moyen des théories scientifiques enseignées actuellement. |

