INDEX DES CONCEPTS

QUI SONT REDÉFINIS
PAR LA THÉORIE DE L'ESPACE-TEMPS ÉVOLUTIF


retour sommaire


composition des accélérations  
L'accélération d'un objet distant de tout autre objet est égale à celle de l'emplacement de l'espace où il se trouve. Elle est en permanence dirigée vers l'emplacement d'où on l'observe. Il n'y a pas d'accélération radiale.
             l'espace-temps évolutif  § 2.9  pages 20-22
             les lois de la gravitation  § 3.1  figure 3  page 23
             les lois de la gravitation  § 3.5  figure 5  page 30
Cette disposition géométrique explique les lois de Kepler. Elle confirme aussi le raisonnement d'Albert Einstein sur le principe de la relativité générale.                                       


invariance des angles  
L'espace-temps est homogène et isotrope. Il se contracte en restant homothétique à lui-même. Les lignes droites restent parallèles à elles-mêmes. Les angles sont donc indépendants de cette évolution.


nouvelle représentation des atomes  
Depuis Niels Bohr, on se représente les atomes comme constitués d'un noyau central chargé positivement autour duquel gravitent des électrons chargés négativement, répartis dans des couches correspondant chacune à la valeur de leur «énergie cinétique». Cette conception géométrique doit être abandonnée car la nouvelle physique ne reconnaît pas la notion d'énergie mécanique, mais seulement celle d'énergie électromagnétique.
Notre hypothèse est que les constituants ultimes des atomes sont des objets pesants, caractérisés chacun par son flux gravifique, donc par sa masse. Le statut de ces objets dépend du système de masses dans lequel on les considère :
—   Lorsque le système de masses pris en compte contient tous les composants sub-atomiques, on raisonne dans un référentiel centré sur le centre cinétique de l'atome.
—   Lorsqu'on s'intéresse à tous les constituants sub-atomiques sauf les électrons, le système de masses pris en compte est le noyau seul. On raisonne alors dans un référentiel différent de celui l'atome pris dans son ensemble.
Il y a une différence de potentiel, appelée «puits», entre le référentiel qui est lié à l'atome et celui qui est lié au noyau, mais cela ne prouve pas que les électrons soient plus éloignés du centre que les constituants du noyau. En fait les constituants sont tous répartis dans l'espace.
             les girations  page 127



transmission de la chaleur
On décrit à tort les molécules comme des objets qui sont sans cesse en train de s'entrechoquer et de rebondir les uns sur les autres, dans des mouvements erratiques très rapides. Or ces chocs n'existent pas, car les molécules sont très éloignées les unes des autres, en comparaison de leurs propres dimensions. La transmission du mouvement ne peut se faire qu'à travers le vide inter-moléculaire, aussi bien dans le cas de la conduction thermique à l'intérieur d'un objet que dans celui du rayonnement thermique à la surface de l'objet. Le seul phénomène physique connu pour assurer ce transfert de mouvement est le photon que nous considérons, en renouant avec la conception de Max Planck, comme un quantum d'action.
Le déplacement de chaque molécule se fait par rapport à l'espace, là où elle se trouve. On ne peut pas étudier ce mouvement dans le référentiel lié à l'ensemble du système de masses, mais seulement dans un référentiel centré sur elle. Il n'existe qu'un mécanisme de transmission du mouvement : dans un premier référentiel, une molécule émettrice perd un photon ; dans un deuxième référentiel, mobile par rapport au premier, une molécule réceptrice absorbe ce même photon. Dans ces référentiels qui suivent le déplacement des molécules, le mouvement de translation est nul ; seul existe le moment cinétique.
Dans l'espace-temps les seules structures stables sont des girations et des contre-girations, auxquelles correspondent dans le milieu physique des électrons et des positons. On peut se représenter un photon comme l'assemblage d'un électron et d"un positon. Son moment cinétique est le double de celui de l'électron. Dans le cas où un faisceau de photons n'est pas cohérent, la chaleur transmise par chaque photon est son action, égale à la valeur absolue de son moment cinétique. Les actions s'ajoutent arithmétiquement.

             les girations  § 2.6  pages 128-133



continuité de l'espace
La continuité de l'espace est définie indépendamment de l'écoulement du temps. À un instant donné, chaque emplacement dans l'espace possède une valeur particulière du potentiel. On considère que l'espace est continu, parce que la répartition du potentiel y est continue. À vrai dire cette continuité ne peut être définie que dans un seul référentiel à la fois : les surfaces équipotentielles sont alors des sphères centrées sur l'origine du référentiel. Entre deux sphères, aussi voisines soient-elles l'une de l'autre, on peut toujours imaginer des sphères intermédiaires.
Par contre, tout changement de référentiel entraîne une variation du potentiel donc une discontinuité.
             les girations  pages 117-119


continuité du temps
L'expérience courante montre que le temps historique est continu puisque, entre deux dates aussi voisines soient-elles, on peut toujours imaginer des dates intermédiaires. Cette définition «simple» de la continuité répond au même formalisme mathématique que la continuité d'une ligne géométrique : entre deux points de la ligne aussi voisins soient-ils, on peut toujours imaginer qu'il existe des points intermédiaires.
Mais cette continuité simple ne satisfait pas les physiciens, qui ne peuvent observer les phénomènes physiques qu'à travers la bande passante de leurs appareils. La situation sur laquelle il est le plus facile de raisonner est celle où les résultats de mesure sont des échantillons disjoints. Le temps doit posséder en lui-même une loi définie continue pour assurer la correspondance entre les deux bornes de la durée qui sépare deux échantillons successifs. Or l'axiome de la non-uniformité du temps posé au départ de la théorie de l'espace-temps évolutif répond à cette demande. Les durées élémentaires se succèdent sans interruption formant un écoulement commun à tout l'univers appelé temps de référence. La loi structurelle, qui rattache le temps historique à cet écoulement, est une fonction exponentielle, monotone, continue, admettant des dérivées successives elles-mêmes continues. Le temps historique est bien continu indépendamment de nos observations.
             les girations  pages 122-123


nouvel énoncé du postulat cosmologique  
Les phénomènes physiques sont les mêmes dans tout l'univers, mais ils ne sont mesurables que dans un seul référentiel à la fois. Dans le cas où l'on s'intéresse à ce qui se passe dans plusieurs référentiels, on doit décrire les événements dans chacun d'eux indépendamment des autres. La comparaison repose sur le postulat suivant :
Si, après avoir raisonné sur ce qui se passe dans un premier référentiel, on s'intéresse à un deuxième référentiel, on doit utiliser les mêmes lois de la physique, c'est-à-dire les mêmes relations entre les grandeurs.
Disons cela autrement.
Si, au lieu de nous trouver aujourd'hui sur la terre, nous étions transportés ailleurs dans l'univers, à une autre date et à un autre emplacement, nous y retrouverions les lois physiques qui nous sont familières.
Cela ne veut pas dire que les grandeurs physiques auraient les mêmes valeurs qu'aujourd'hui. S'il était possible de les mesurer dans le deuxième référentiel avec les mêmes unités que dans le premier, on constaterait qu'elles sont pour la plupart différentes. Seules les constantes fondamentales seraient conservées. Mais ce n'est là qu'une vue théorique. En pratique on ne peut pas utiliser d'autres unités que celles qui sont en vigueur dans le référentiel où l'on se trouve, différentes d'un référentiel à l'autre. C'est la méconnaissance de cet impératif qui empêche la plupart des gens d'admettre que l'univers est en perpétuelle évolution. Il leur semble le matin que leur chambre à coucher n'a pas changé de dimensions depuis la veille, et ils en restent à cette constatation élémentaire. Ils se refusent à comprendre qu'ils ne sont plus dans le même référentiel ; que la chambre s'est contractée durant la nuit ; que le mètre gradué dont ils se servent pour la mesurer s'est également contracté ; et qu'eux-mêmes se sont contractés dans les mêmes proportions.
Les seuls vecteurs d'information possibles entre les référentiels sont les photons. Ce sont eux qui apportent la preuve que l'univers évolue. Le fait que les raies spectrales de la lumière reçue des galaxies lointaines est décalée en fréquence est la preuve que les photons n'avaient pas les mêmes caractéristiques qu'aujourd'hui. Cette réflexion sur le décalage spectral est à l'origine de l'hypothèse sur la non-uniformité du temps.
             l'espace-temps évolutif  § 1.5  page 8


discontinuité des phénomènes physiques
Tout phénomène accessible aux méthodes scientifiques ne peut être défini et mesuré que dans un système de masses limité très strictement aux éléments à observer, à l'exception du matériel d'expérimentation, des appareils de mesure, et des objets environnants. Cela est vrai dans tous les domaines, physique, chimique, biologique. Par exemple l'étude d'une réaction chimique doit se faire en ne considérant que les molécules qui interviennent dans la réaction, à l'exclusion des autres substances, ce qui est suggéré entre autres par la loi de Raoult.
Considérons deux mesures effectuées sur le même système. Dans la deuxième mesure, le centre cinétique du système n'est plus au même emplacement dans l'espace que dans la première ; la date n'est plus la même. Il y a donc deux référentiels distincts, caractérisés par des valeurs différentes du potentiel. Si court soit l'intervalle de temps entres les deux mesures, il existe toujours entre elles une discontinuité.
L'expérience scientifique consiste à comparer les résulats obtenus dans les deux référentiels, ce qui nécessite la transmission d'information du premier vers le deuxième selon deux trajets :
—   selon un trajet qui suit le cours du temps,
—   mémorisée dans le matériel d'expérimentation, sous forme analogique ou numérique.
             les girations  pages 103-105


distances astronomiques  
Les distances estimées de nos jours sont très surestimées pour les astres éloignés. Les distances des étoiles les plus proches sont connues par triangulation. Au delà, on mesure la luminosité apparente d'étoiles à éclat variable, dont les caractéristiques sont connues. Dans tous les cas, l'évaluation des distances s'appuie sur le fait que les photons qui nous parviennent ont voyagé, à chaque instant, à la vitesse de la lumière là où ils se trouvaient. Or s'il est vrai que la vitesse c de la lumière est invariante, l'unité qui sert à mesurer le temps t ne l'est pas. La distance parcourue par les photons n'est donc pas donnée par le produit ct, mais par une loi logarithmique qui tient compte de la loi structurelle du temps.
             l'espace-temps évolutif  § 3.1  pages 37-39


méthode de l'objet fictif  
Pour décrire le mouvement d'un objet pesant, on choisit comme origine des coordonnées le centre cinétique du système de masses auquel il appartient. Il en découle que la résultante des quantités de mouvement de tous les autres objets est égale et de sens contraire à sa propre quantité de mouvement. On peut les remplacer dans les calculs par un seul objet, fictif, qui est son symétrique par rapport à l'origine. Cette méthode est très générale. Elle permet d'étudier le mouvement de l'objet observé indépendamment des autres. C'est dans ces conditions que les mouvements des planètes sont des ellipses indépendantes les unes des autres.
             l'espace-temps évolutif  § 2.10  page 25


classification des grandeurs physiques  
Les grandeurs physiques peuvent être classées selon leur évolution en fonction du temps de référence. Leur loi d'évolution est toujours une exponentielle dont le taux na est un multiple entier du taux a de la loi structurelle du temps. Seules les valeurs de n comprises entre -4 et +4 ont une signification physique. Les grandeurs de classe 0 sont indépendantes de l'évolution du temps. Les grandeurs de classe +1 sont les seules à avoir la propriété de sommation.
             l'espace-temps évolutif  § 2.6  page 18


insertion des objets compacts dans l'espace-temps  
Tout objet compact isolé dans l'espace tourne autour de deux axes qui passent par son propre centre cinétique :
             son axe gyroscopique, normal à son plan équatorial,
             et son axe orbital,
Ce deuxième axe est normal au plan de l'orbite de cet objet autour du centre cinétique du système de masses auquel il appartient. Par exemple la terre tourne en un jour sidéral autour de son axe gyroscopique, et en une année tropique autour d'un axe normal au plan écliptique qui contient le soleil.
Les plupart des gens trouve invraisemblable qu'un objet puisse ainsi tourner autour de deux axes à la fois, et cependant ce fait est connu sans contestation possible depuis l'Antiquité. Il n'y a pas lieu de le discuter, mais seulement de l'expliquer, ce qui ne fait appel qu'à des notions de cinématique bien connues de nos jours. Les deux mouvements tournants se composent en un mouvement résultant unique. Ce mouvement résultant est le seul à se produire à vitesse angulaire constante par rapport à l'espace. Lui-seul est la rotation de l'objet.
Le calcul aboutit à une formule qui montre que, pour un rapport donné des périodes gyroscopique et orbitale, l'angle entre les deux axes, appelé inclinaison, est imposé. Cette formule rigoureuse justifie les lois physiques qui ont permis de l'établir, notamment les règles de la composition des quantités de mouvement.
             inclinaison d'un objet compact
             les girations  pages 82-88



irréversibilité des phénomènes physiques  
Même en l'absence d'interventions extérieures, les phénomènes physiques subissent une accélération corrélative à la loi structurelle du temps. Cette accélération, non observable dans l'espace-temps apparent, rend impossibles les transformations réversibles.
             l'espace-temps évolutif  § 2.8  page 19


universalité des lois de Kepler  
Les théories se doivent d'exprimer les faits d'expérience avec le moins grand nombre possible de concepts nouveaux. La meilleur théorie pour expliquer les lois de Kepler n'est pas la loi de Newton, qui introduit la notion inutile de masse inertielle, mais la loi du mouvement à accélération centrale, qui ne fait appel qu'aux grandeurs dites «cinématiques» de longueur et de temps. Cette loi s'exprime notamment par les formules de Binet. La nouvelle théorie, en affirmant que tout point de l'univers est un centre d'accélérations, explique donc naturellement les lois de Kepler. Dès lors qu'on choisit un point dans l'espace comme origine d'un système de coordonnées, les mouvements se font à accélération centrale autour de ce point. Cette explication est valable à toutes les échelles de grandeur. Elle s'applique aussi bien aux particules qu'aux astres.
             Les lois de la gravitation  § 3.3  pages 29-32


non-validité de la transformation de Lorentz  
La démonstration de la transformation de Lorentz est fausse, car elle fait appel à la composition des vitesses entre des objets repérés dans des référentiels mobiles l'un par rapport à l'autre, ce que la théorie de l'espace-temps évolutif interdit. En contrepartie, la nouvelle théorie conserve des concepts qui avaient été abandonnés depuis un siècle, en particulier le fait que l'intervalle de temps et la distance spatiale qui séparent deux événements dans l'univers sont indépendants du déplacement relatif des référentiels.
L'abandon de la transformation de Lorentz entraîne que la théorie de la relativité restreinte est fausse. Cependant la théorie de la relativité générale est vraie, parce qu'elle est fondée sur la composition des accélérations.
             Les lois de la gravitation  § 3.3  pages 29-32


nouvelle conception de la masse des objets pesants  
Les masses inertielles n'existent pas.
Les masses gravifiques servent à exprimer de façon commode les flux d'accélération. On pourrait abandonner l'étalon de masse, le kilogramme, en mesurant les masses en unités de flux.
             les lois de la gravitation  § 3.4  pages 32-33
La masse propre d'un objet est la valeur moitié de sa masse gravifique.
             les lois de la gravitation  § 3.6  pages 39-40



inexistence de la matière sombre  
On considère actuellement que l'espace est en expansion et que les astres qui s'y trouvent s'attirent les uns les autres selon la loi de Newton. On se demande quelle doit être la densité moyenne de matière pour que la stabilité de l'univers soit assurée, compte tenu de ces deux sollicitations contraires auxquelles toute matière est soumise. Le résultat des calculs est une masse beaucoup plus grande que celle qui est observée par les astronomes. On suppose que la différence est constituée d'une forme de matière inconnue, non-visible, qu'on appelle la «matière sombre». Ce n'est qu'une hypothèse, qui ne sera certainement jamais vérifiée puisque la loi de Newton est fausse.
En fait, ce raisonnement n'a aucun sens pour la théorie de l'espace-temps évolutif. L'espace se contracte indéfiniment selon une loi structurelle qui lui est propre, indépendamment de la matière. Les objets physiques subissent la même accélération que l'espace, là où ils se trouvent, mais n'interagissent pas les uns sur les autres. L'hypothèse de la matière sombre est inutile.


domaine de validité des équations de Maxwell  
Les équations de Maxwell ne sont valables que dans un référentiel galiléen. Elles ne s'appliquent pas entre deux référentiels en rotation ou en accélération l'un par rapport à l'autre.


faisabilité d'un moteur spatio-temporel  
On se demande depuis bien longtemps quel est le moteur qui fait tourner les astres : eh bien! c'est l'évolution de l'espace-temps lui-même. Tout objet isolé dans l'espace tourne sur lui-même comme un gyroscope et se contracte vers son centre. Son moment cinétique est constant, mais l'écoulement du temps historique dans lequel il est plongé s'accélère. La grandeur définie comme la variation du moment cinétique par unité de temps est croissante. Or cette grandeur est assimilable à l'énergie électromagnétique. L'espace-temps est ainsi un réservoir d'énergie électromagnétique.
L'objet qui se contracte se comporte face au reste de l'univers comme une armature de condensateur chargée négativement. En tournant, ces charges électriques induisent un champ magnétique selon l'axe de rotation de l'objet. Celui-ci possède ainsi un rapport gyromagnétique utilisable selon les lois de l'électromagnétisme. Cette propriété des objets isolés dans l'espace est valable à toutes les échelles de grandeur, aussi bien pour les astres que pour les particules subatomiques.
Il n'y a plus à discuter la possibilité d'utiliser l'énergie présente dans l'espace ; cela a été démontré à la fois théoriquement et expérimentalement, sans conteste possible, par le professeur René-Louis Vallée. Dans son expérience, il faisait appel à un phénomène de résonance magnétique pour obtenir deux réactions successives, d'abord la transmutation d'atomes de carbone en bore radioactif, puis la transmutation inverse, spontanée, du bore en carbone. À l'issue de ce double processus, la matière avait retrouvé son état initial, et cependant une forte impulsion électromagnétique s'était produite, prélevée sur l'énergie du vide.
Les propriétés des gyroscopes permettent d'envisager la réalisation de moteurs à notre échelle.
             les girations  pages 89-91 et 105-108


représentation du mouvement des objets pesants  
Contrairement aux habitudes, la nouvelle physique ne représente pas les déplacements des objets matériels par leur vitesse mais par leur quantité de mouvement, qui est une grandeur de classe +1. Tout ensemble matériel, appelé système de masses, peut être représenté de multiples façons comme un assemblage de parties, jointives ou disjointes, dont les mouvements se combinent selon les règles du calcul vectoriel. Il est bien connu qu'il existe un point et un seul pour lequel la somme des quantités de mouvement est nulle : c'est le centre cinétique du système de masses. La nouveauté réside dans l'exploitation de la remarque très simple, déjà connue, que la représentation des mouvements n'est possible facilement que si l'on choisit le centre cinétique comme origine du système de coordonnées. Par exemple cela confirme la théorie de Copernic, selon laquelle la représentation des mouvements des planètes se simplifie si on les réfère au soleil, ou plus exactement au centre cinétique du système solaire qui est très voisin du centre du soleil. Certes ce système de coordonnées particulier se déplace par rapport à d'autres repères dans l'espace, et peut même être accéléré, mais il reste en toutes circonstances valable pour les masses qui y sont référées.
             l'espace-temps évolutif  § 2.10  pages 22-25
             les lois de la gravitation  § 3.5  pages 34-38


unicité du potentiel  
Le potentiel gravifique et le potentiel électrique sont une même réalité, observée avec des méthodes et des unités différentes. Il en est de même du potentiel synergétique, dont les propriétés ont été mises en évidence par le professeur René-Louis Vallée, et qui est la seule grandeur présente dans l'espace vide d'objets matériels.

                Il est utile de désigner cette réalité unique par un seul mot, le potentiel.

L'espace ne peut pas être appréhendé autrement que dans une structure mathématique appelée référentiel et en fait, lorsqu'on énonce les propriétés de l'espace ce sont toujours celles d'un référentiel que l'on décrit. En tout emplacement du référentiel considéré, il n'existe rien d'autre que cette grandeur scalaire, le potentiel, dont la valeur s'exprime comme la somme de deux termes, le potentiel gravifique qui existe seul dans les référentiels qui gardent leurs directions fixes par rapport à l'espace, et le potentiel de rotation qui s'ajoute au premier dans les référentiels tournants. Les référentiels en rotation sont ainsi structurés par la somme de la composante gravifique et de la composante de rotation.

La valeur absolue du potentiel n'est pas observable ; on ne connaît jamais que la différence de potentiel entre deux emplacements. Par exemple la surface équipotentielle qui donne sa forme au niveau moyen des mers, le sphéroïde de Clairaut, est caractérisée par la différence de potentiel entre le centre de la terre et la surface.

Selon le problème étudié, une différence de potentiel entre deux points voisins dans l'espace peut nous apparaître soit comme une accélération mécanique, soit comme une différence de potentiel électrique.

Une différence de potentiel entre deux points voisins dans le temps peut être considérée soit comme un changement de date, soit comme une variation de la température.

Dans le milieu physique observable il existe une valeur limite du potentiel, appelée potentiel disruptif, qui est imposée aux objets physiques par la contraction de l'espace-temps auquel ils sont assujettis. Elle résulte du fait qu'aucun phénomène physique ne peut subir une contraction plus accélérée que l'espace-temps subjacent. Cette limite explique des phénomènes variés, par exemple la rupture des objets matériels qui atteignent leur limite d'élasticité, la vitesse de la lumière, l'émission de lumière par les éclairs d'orage, la dislocation des photons en paires électron-positon, etc.


relation entre la date et la température universelle  L'évolution de l'espace-temps s'exprime en fonction d'un paramètre unique, le temps de référence. Le temps auquel nous sommes habitués, le temps historique est une fonction continue monotone de ce paramètre. Du seul point de vue du formalisme mathématique, rien n'empêche de représenter l'évolution de l'univers par autre grandeur que le temps historique ; il suffit que la grandeur choisie soit elle aussi une fonction continue et monotone du temps de référence. Cependant, elle ne doit avoir pour domaine de définition que l'espace et le temps, pas les phénomènes physiques. Une grandeur intéressante est le volume d'une sphère de rayon unité. Il décroît avec le temps.
Les études menées depuis le XVIIe siècle avec des thermomètres à mercure, puis à gaz, ont conduit à définir la température des objets matériels par leur dilatation. Dans le cas des gaz très raréfiés, qui sont constitués de molécules très distantes les unes des autres en comparaison de leurs propres dimensions, la variation de volume du gaz est celle de l'espace inter-moléculaire. C'est ainsi que Gay-Lussac, en expérimentant sur des objets physiques, a accédé par extrapolation aux propriétés de l'espace vide de toute matière. Ses résultats nous autorisent aujourd'hui, dans la théorie de l'espace-temps évolutif, à définir une température universelle inobservable directement. Elle est décroissante dans l'histoire. À chaque emplacement, la température de l'objet matériel s'ajoute à elle.
La température universelle est liée à la date de l'histoire de l'univers par la relation suivante :
             température universelle
            
             les girations  pages 124 et 134


loi structurelle du temps  
Le temps est usuellement mesuré en comptant les occurences d'un phénomène périodique, par exemple le nombre des années écoulées depuis l'origine du calendrier, le nombre des cernes annuels dans un tronc d'arbre, le nombre des rotations de la terre sur elle-même ou le nombre des périodes d'une raie spectrale émise par un atome de césium. Ce temps apparent est le temps «chronologique» ou «historique». Les événements sont repérés par leur date. Les différences de date sont des laps de temps.
Cette conception commune du temps suppose que la période du phénomène qui sert à le mesurer est constante. La théorie de l'espace-temps évolutif enseigne que ce n'est vrai. La réalité est représentée au moyen d'une autre échelle, l'échelle du temps «de référence». Les événements y sont repérés par leur instant. Les intervalles entre les instants sont des durées. Cette deuxième échelle convient mieux pour représenter l'évolution naturelle des phénomènes physiques ou chimiques car, quelle que soit la date des observations, la variation du processus est proportionnelle à la durée qui s'écoule.
Le temps chronologique et le temps de référence sont liés par une relation bi-univoque monotone caractéristique de l'espace-temps. Ces valeurs du temps sont négatives pour le passé et positives pour le futur. Le taux a vaut 5980 années.
             loi structurelle du temps
             l'espace-temps évolutif  § 2.1  page 11
             les girations  figure 24  page 121


caractérisation des transformations physiques  
La nouvelle physique explique qu'il faut caractériser les transformations physiques, appelées processus, par des grandeurs de classe -1 qui évoluent comme le temps. Les vitesses des processus sont alors indépendantes de la date à laquelle on les observe. Les accélérations des processus, qui sont de classe +1, se combinent selon les lois usuelles du calcul algébrique ou vectoriel.
             l'espace-temps évolutif  § 2.12  pages 27-28


non-matérialité des trous noirs  
La théorie de l'espace-temps évolutif retrouve la formule de Schwartzschild, qui suscite de nos jours bien des hypothèses, mais elle la place dans un cadre conceptuel très différent.
Le centre d'un trou noir n'est pas nécessairement le centre d'une étoile ou d'une galaxie, mais le centre cinétique de n'importe quel système de masses. Il peut donc en exister n'importe où dans l'univers, même à des emplacemnts éloignés de toute masse, par exemple au centre de l'amas local de galaxies, dans le vide spatial.
La sphère de Schwartzschild n'est pas un lieu où le temps ne s'écoule pas, comme on l'imagine si l'on applique la transformation de Lorentz, mais un lieu où les objets se déplacent à la vitesse de la lumière. Les objets moins rapides que la lumière circulent à l'extérieur de cette sphère ; ils constituent l'univers que nous connaissons. À l'intérieur de la sphère, il ne peut exister que des objets plus rapides que la lumière, mais nous ignorons totalement ce qui s'y passe.
Le flux gravifique qui incurve les faisceaux lumineux au voisinage d'un trou noir correspond à toute la masse du système, qui est constitué d'objets extérieurs à la sphère de Schwartzschild. C'est donc une erreur de croire qu'il existe à l'intérieur un objet de très haute densité.
             les lois de la gravitation  § 4.4  pages 49-53


identification des unités cinématiques et électriques  
Contrairement à l'hypothèse de la physique actuelle, la grandeur physique qu'un objet compact possède du fait de sa rotation n'est pas une «énergie cinétique» mais un moment cinétique. La grandeur cinématique qui a la même dimension que l'énergie électromécanique est la valeur absolue de la dérivée de son moment cinétique par rapport au temps.
             les girations   pages 111-116   tableau page 113


vérification de la théorie de l'espace-temps évolutif  
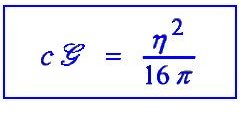
Les constantes physiques universelles sont indépendantes de la date à laquelle on les mesure. Elles font partie des grandeurs physiques de classe 0, qu'on peut exprimer en fonction du taux a de la loi structurelle du temps. Par exemple la constante universelle de la gravitation est une fonction de a.
             l'espace-temps évolutif  § 2.12  pages 27-28  
De même la vitesse de la lumière s'exprime en fonction de a.
             l'espace-temps évolutif  § 2.17  pages 32-34  
En éliminant a entre ces deux expressions, on découvre une relation originale entre deux grandeurs physiques qui nous paraissaient jusqu'à présent indépendantes. Il n'est pas nécessaire de procéder à de nouvelles expérimentations puisque les constantes universelles sont déjà connues. Cependant il faudra reprendre la détermination de la constante de la gravitation, qui a été faite sans tenir compte de la précession de la ligne des équinoxes.
            formule vérif       valeurs numériques
             l'espace-temps évolutif  § 2.18  pages 35



retour sommaire